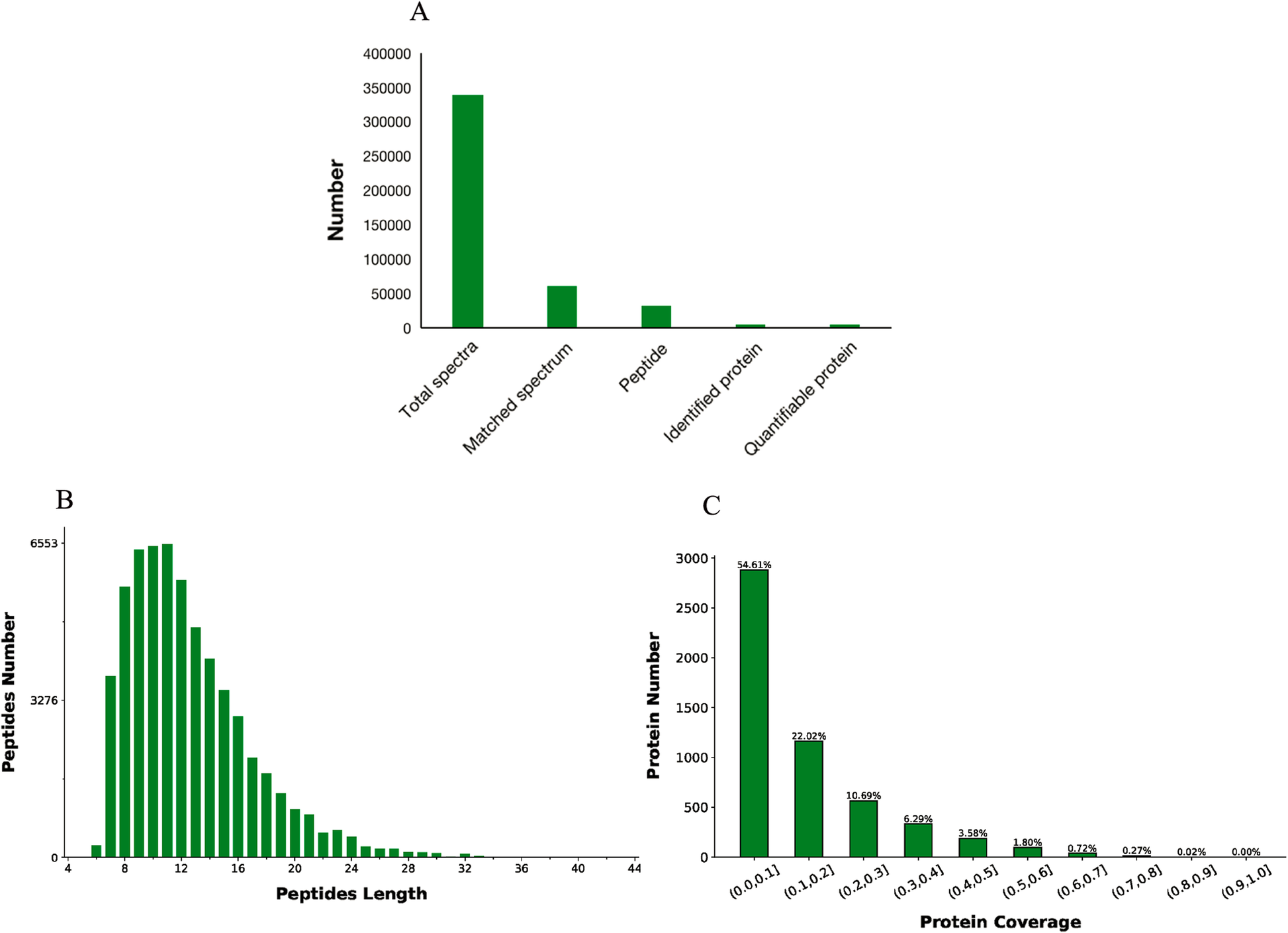
Fig. 1
From: A quantitative proteomics analysis for small molecule Stemazole’s effect on human neural stem cells

Identification and analysis of proteins. Basic information for protein identification (a), peptide length distribution plot (b) and coverage of the identified proteins (c)